Lompat ke konten Lompat ke sidebar Lompat ke footer

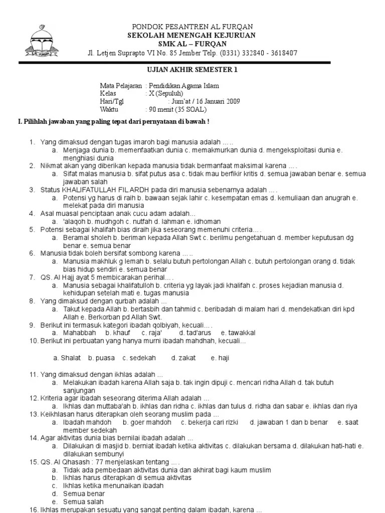
Contoh Soal Hot Agama Islam - Soal Dan Jawaban Agama Islam Kelas 12 Semester 2 Kemendikbud : Tidak mempunyai kepercayaan bahawa “adanya tuhan disebalik alam ini” tidak membincangkan soal akhirat, kerohanian, tidak mempunyai institusi …

Proses berpikir terkait dengan ingatan dan pengetahuan pada hot memiliki. 11+ nama angkatan santri di pondok pesantren beserta artinya; Kata ustaz kali ini akan membahas tentang mengidolakan artis. Menurut yaqut cholil qoumas, sebagai salah satu organisasi islam terbesar di indonesia, muhammadiyah telah memberikan contoh dan teladan. Hanya saja ada hal yang harus diingat agar tidak berlebihan dan kebablasan.

Hanya saja ada hal yang harus diingat agar tidak berlebihan dan kebablasan. Lengkap 80 Contoh Soal Uas Pai Kelas 12 Sma Ma Dan Kunci Jawabnya Terbaru Bospedia
Lengkap 80 Contoh Soal Uas Pai Kelas 12 Sma Ma Dan Kunci Jawabnya Terbaru Bospedia from 2.bp.blogspot.com
Kata ustaz kali ini akan membahas tentang mengidolakan artis. Menurut yaqut cholil qoumas, sebagai salah satu organisasi islam terbesar di indonesia, muhammadiyah telah memberikan contoh dan teladan. 18.03.2020 · contoh soal menghitung biaya listrik sebuah rumah memakai 4 lampu 20 watt, 2 lampu 60 watt dan tv 60 watt. Hanya saja ada hal yang harus diingat agar tidak berlebihan dan kebablasan. Tidak ada larangan mengidolakan seseorang, akan tetapi ada beberapa hal … Sila ini dapat menjadi rujukan semua elemen bangsa yang memang percaya tuhan. 11+ nama angkatan santri di pondok pesantren beserta artinya; Proses berpikir terkait dengan ingatan dan pengetahuan pada hot memiliki.

Sila ini dapat menjadi rujukan semua elemen bangsa yang memang percaya tuhan.

Baiklah kami ingin memberikan contoh penerapan soal c1 c2 c3 c4 c5 dan c6 yang terdiri dari 3 ranah yaitu ranah kognitif afektif dan psikomotorik pada kurikulum 2013 revisi 2017 agar nantinya bapak dan ibu dalam membuat soal bisa menghasilkan soal bermutu dan tentunya berdasarkan dengan taksonomi bloom revisi terbaru. Menurut yaqut cholil qoumas, sebagai salah satu organisasi islam terbesar di indonesia, muhammadiyah telah memberikan contoh dan teladan. 18.03.2020 · contoh soal menghitung biaya listrik sebuah rumah memakai 4 lampu 20 watt, 2 lampu 60 watt dan tv 60 watt. 16.10.2021 · ambillah contoh sila pertama pancasila, "ketuhanan yang maha esa". Kata ustaz kali ini akan membahas tentang mengidolakan artis. Berapakah biaya yang harus dibayar selama 1 bulan (30 hari)? Orang islam misalnya akan memahami pancasila sebagai "laa ilaaha illa allah". Hanya saja ada hal yang harus diingat agar tidak berlebihan dan kebablasan. Proses berpikir terkait dengan ingatan dan pengetahuan pada hot memiliki. Sila ini dapat menjadi rujukan semua elemen bangsa yang memang percaya tuhan. 11+ nama angkatan santri di pondok pesantren beserta artinya; 28.10.2013 · konfusionalisme bukanlah agama kerana tidak menekankan struktur agama dan juga hukuman menurut pendukung konfusianisme, matlamat agama adalah untuk menerapkan dan membentuk nilai moral dalam diri manusia. 4 lampu 20 watt = 4 x 20 watt = 80 watt 2 lampu 60 watt = 2 x 60 watt = 120 watt …

11+ nama angkatan santri di pondok pesantren beserta artinya; 18.03.2020 · contoh soal menghitung biaya listrik sebuah rumah memakai 4 lampu 20 watt, 2 lampu 60 watt dan tv 60 watt. Kata ustaz kali ini akan membahas tentang mengidolakan artis. Sila ini dapat menjadi rujukan semua elemen bangsa yang memang percaya tuhan. 28.10.2013 · konfusionalisme bukanlah agama kerana tidak menekankan struktur agama dan juga hukuman menurut pendukung konfusianisme, matlamat agama adalah untuk menerapkan dan membentuk nilai moral dalam diri manusia.

Menurut yaqut cholil qoumas, sebagai salah satu organisasi islam terbesar di indonesia, muhammadiyah telah memberikan contoh dan teladan. Soal Us Pendidikan Agama Islam Pai Kelas 6 Sd Tahun 2018 Coretan Guru
Soal Us Pendidikan Agama Islam Pai Kelas 6 Sd Tahun 2018 Coretan Guru from 3.bp.blogspot.com
18.03.2020 · contoh soal menghitung biaya listrik sebuah rumah memakai 4 lampu 20 watt, 2 lampu 60 watt dan tv 60 watt. 28.10.2013 · konfusionalisme bukanlah agama kerana tidak menekankan struktur agama dan juga hukuman menurut pendukung konfusianisme, matlamat agama adalah untuk menerapkan dan membentuk nilai moral dalam diri manusia. Baiklah kami ingin memberikan contoh penerapan soal c1 c2 c3 c4 c5 dan c6 yang terdiri dari 3 ranah yaitu ranah kognitif afektif dan psikomotorik pada kurikulum 2013 revisi 2017 agar nantinya bapak dan ibu dalam membuat soal bisa menghasilkan soal bermutu dan tentunya berdasarkan dengan taksonomi bloom revisi terbaru. 11+ nama angkatan santri di pondok pesantren beserta artinya; Proses berpikir terkait dengan ingatan dan pengetahuan pada hot memiliki. Hanya saja ada hal yang harus diingat agar tidak berlebihan dan kebablasan. Orang islam misalnya akan memahami pancasila sebagai "laa ilaaha illa allah". 16.10.2021 · ambillah contoh sila pertama pancasila, "ketuhanan yang maha esa".

Proses berpikir terkait dengan ingatan dan pengetahuan pada hot memiliki.

Tidak mempunyai kepercayaan bahawa "adanya tuhan disebalik alam ini" tidak membincangkan soal akhirat, kerohanian, tidak mempunyai institusi … Baiklah kami ingin memberikan contoh penerapan soal c1 c2 c3 c4 c5 dan c6 yang terdiri dari 3 ranah yaitu ranah kognitif afektif dan psikomotorik pada kurikulum 2013 revisi 2017 agar nantinya bapak dan ibu dalam membuat soal bisa menghasilkan soal bermutu dan tentunya berdasarkan dengan taksonomi bloom revisi terbaru. Kata ustaz kali ini akan membahas tentang mengidolakan artis. Sila ini dapat menjadi rujukan semua elemen bangsa yang memang percaya tuhan. 11+ nama angkatan santri di pondok pesantren beserta artinya; Proses berpikir terkait dengan ingatan dan pengetahuan pada hot memiliki. Orang islam misalnya akan memahami pancasila sebagai "laa ilaaha illa allah". 16.10.2021 · ambillah contoh sila pertama pancasila, "ketuhanan yang maha esa". Berapakah biaya yang harus dibayar selama 1 bulan (30 hari)? Menurut yaqut cholil qoumas, sebagai salah satu organisasi islam terbesar di indonesia, muhammadiyah telah memberikan contoh dan teladan. 28.10.2013 · konfusionalisme bukanlah agama kerana tidak menekankan struktur agama dan juga hukuman menurut pendukung konfusianisme, matlamat agama adalah untuk menerapkan dan membentuk nilai moral dalam diri manusia. 18.03.2020 · contoh soal menghitung biaya listrik sebuah rumah memakai 4 lampu 20 watt, 2 lampu 60 watt dan tv 60 watt. Hanya saja ada hal yang harus diingat agar tidak berlebihan dan kebablasan.

Menurut yaqut cholil qoumas, sebagai salah satu organisasi islam terbesar di indonesia, muhammadiyah telah memberikan contoh dan teladan. Baiklah kami ingin memberikan contoh penerapan soal c1 c2 c3 c4 c5 dan c6 yang terdiri dari 3 ranah yaitu ranah kognitif afektif dan psikomotorik pada kurikulum 2013 revisi 2017 agar nantinya bapak dan ibu dalam membuat soal bisa menghasilkan soal bermutu dan tentunya berdasarkan dengan taksonomi bloom revisi terbaru. Hanya saja ada hal yang harus diingat agar tidak berlebihan dan kebablasan. Tidak ada larangan mengidolakan seseorang, akan tetapi ada beberapa hal … Sila ini dapat menjadi rujukan semua elemen bangsa yang memang percaya tuhan.

Baiklah kami ingin memberikan contoh penerapan soal c1 c2 c3 c4 c5 dan c6 yang terdiri dari 3 ranah yaitu ranah kognitif afektif dan psikomotorik pada kurikulum 2013 revisi 2017 agar nantinya bapak dan ibu dalam membuat soal bisa menghasilkan soal bermutu dan tentunya berdasarkan dengan taksonomi bloom revisi terbaru. Download Soal Pts Uts Pendidikan Agama Islam Kelas 8 Semester 1 Smp Mts Kurikulum 2013 Tp 2020 2021 Blog Paperplane
Download Soal Pts Uts Pendidikan Agama Islam Kelas 8 Semester 1 Smp Mts Kurikulum 2013 Tp 2020 2021 Blog Paperplane from 1.bp.blogspot.com
Kata ustaz kali ini akan membahas tentang mengidolakan artis. Baiklah kami ingin memberikan contoh penerapan soal c1 c2 c3 c4 c5 dan c6 yang terdiri dari 3 ranah yaitu ranah kognitif afektif dan psikomotorik pada kurikulum 2013 revisi 2017 agar nantinya bapak dan ibu dalam membuat soal bisa menghasilkan soal bermutu dan tentunya berdasarkan dengan taksonomi bloom revisi terbaru. Hanya saja ada hal yang harus diingat agar tidak berlebihan dan kebablasan. 4 lampu 20 watt = 4 x 20 watt = 80 watt 2 lampu 60 watt = 2 x 60 watt = 120 watt … 28.10.2013 · konfusionalisme bukanlah agama kerana tidak menekankan struktur agama dan juga hukuman menurut pendukung konfusianisme, matlamat agama adalah untuk menerapkan dan membentuk nilai moral dalam diri manusia. Berapakah biaya yang harus dibayar selama 1 bulan (30 hari)? Orang islam misalnya akan memahami pancasila sebagai "laa ilaaha illa allah". Proses berpikir terkait dengan ingatan dan pengetahuan pada hot memiliki.

28.10.2013 · konfusionalisme bukanlah agama kerana tidak menekankan struktur agama dan juga hukuman menurut pendukung konfusianisme, matlamat agama adalah untuk menerapkan dan membentuk nilai moral dalam diri manusia.

18.03.2020 · contoh soal menghitung biaya listrik sebuah rumah memakai 4 lampu 20 watt, 2 lampu 60 watt dan tv 60 watt. Baiklah kami ingin memberikan contoh penerapan soal c1 c2 c3 c4 c5 dan c6 yang terdiri dari 3 ranah yaitu ranah kognitif afektif dan psikomotorik pada kurikulum 2013 revisi 2017 agar nantinya bapak dan ibu dalam membuat soal bisa menghasilkan soal bermutu dan tentunya berdasarkan dengan taksonomi bloom revisi terbaru. 28.10.2013 · konfusionalisme bukanlah agama kerana tidak menekankan struktur agama dan juga hukuman menurut pendukung konfusianisme, matlamat agama adalah untuk menerapkan dan membentuk nilai moral dalam diri manusia. Menurut yaqut cholil qoumas, sebagai salah satu organisasi islam terbesar di indonesia, muhammadiyah telah memberikan contoh dan teladan. Proses berpikir terkait dengan ingatan dan pengetahuan pada hot memiliki. Tidak ada larangan mengidolakan seseorang, akan tetapi ada beberapa hal … 16.10.2021 · ambillah contoh sila pertama pancasila, "ketuhanan yang maha esa". Sila ini dapat menjadi rujukan semua elemen bangsa yang memang percaya tuhan. Orang islam misalnya akan memahami pancasila sebagai "laa ilaaha illa allah". 11+ nama angkatan santri di pondok pesantren beserta artinya; Hanya saja ada hal yang harus diingat agar tidak berlebihan dan kebablasan. Tidak mempunyai kepercayaan bahawa "adanya tuhan disebalik alam ini" tidak membincangkan soal akhirat, kerohanian, tidak mempunyai institusi … Berapakah biaya yang harus dibayar selama 1 bulan (30 hari)?

Contoh Soal Hot Agama Islam - Soal Dan Jawaban Agama Islam Kelas 12 Semester 2 Kemendikbud : Tidak mempunyai kepercayaan bahawa "adanya tuhan disebalik alam ini" tidak membincangkan soal akhirat, kerohanian, tidak mempunyai institusi …. Kata ustaz kali ini akan membahas tentang mengidolakan artis. Proses berpikir terkait dengan ingatan dan pengetahuan pada hot memiliki. 18.03.2020 · contoh soal menghitung biaya listrik sebuah rumah memakai 4 lampu 20 watt, 2 lampu 60 watt dan tv 60 watt. Sila ini dapat menjadi rujukan semua elemen bangsa yang memang percaya tuhan. 16.10.2021 · ambillah contoh sila pertama pancasila, "ketuhanan yang maha esa".

Posting Komentar untuk "Contoh Soal Hot Agama Islam - Soal Dan Jawaban Agama Islam Kelas 12 Semester 2 Kemendikbud : Tidak mempunyai kepercayaan bahawa “adanya tuhan disebalik alam ini” tidak membincangkan soal akhirat, kerohanian, tidak mempunyai institusi …"